Ακριβώς μία εβδομάδα πριν την ανακοίνωση των βάσεων εισαγωγής και των ονομάτων των επιτυχόντων για την εισαγωγή τους στην τριτοβάθμια εκπαίδευση, η αγωνία κορυφώνεται.
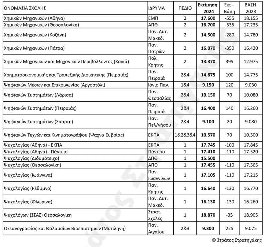
Εκτιμήσεις για τις βάσεις στις 100 δημοφιλέστερες σχολές
Σημειώνεται, ωστόσο, ότι η πολυπλοκότητα του φαινομένου διαμόρφωσης των βάσεων εισαγωγής στην τριτοβάθμια εκπαίδευση, καθιστά τις εκτιμήσεις γι’αυτές, εκτός από «περιζήτητες» και ιδιαίτερα …. παρακινδυνευμένες.
Τις προβλέψεις του σχετικά με το που θα κυμανθούν φέτος οι βάσεις στα 100 δημοφιλέστερα τμήματα ΑΕΙ, μοιράζεται με το protothema.gr, ο μαθηματικός - αναλυτής, Στράτος Στρατηγάκης, αναλύοντας τους λόγους – ή καλύτερα τους αστάθμητους παράγοντες - για τους οποίους η απόλυτη ακρίβεια σε αυτές, δεν είναι εφικτή.
«Το πρόβλημα είναι σύνθετο. Καταρχάς, σε ό,τι αφορά στις μετεγγραφές, φέτος υπάρχουν ιδιαιτερότητες, οι οποίες θα καθορίσουν τη ζήτηση ορισμένων σχολών από τους υποψηφίους. Συγκεκριμένα, έγιναν πλέον αντίστοιχα κάποια Τμήματα, που δεν ήταν στο παρελθόν, με αποτέλεσμα οι υποψήφιοι να μην τα δηλώνουν στο μηχανογραφικό τους, επειδή δεν θα μπορούσαν, στη συνέχεια, να πάρουν μετεγγραφή, όπως για παράδειγμα, το Φυσικής Λαμίας, το Μαθηματικό Λαμίας, το Φυσικής Καβάλας. Το γεγονός μάλιστα, ότι Τμήματα που έφεραν μεν ακριβώς την ίδια ονομασία αλλά δεν ήταν αντίστοιχα μεταξύ τους, προξενούσε σύγχυση στους ενδιαφερόμενους υποψήφιους. Φέτος, ο εξορθολογισμός των αντίστοιχων Τμημάτων για τις μετεγγραφές θα έχει σαν αποτέλεσμα την άνοδο των βάσεων εισαγωγής σε αυτά, καθώς αναμένεται αύξηση της ζήτησης, χωρίς όμως να μπορεί να καθοριστεί επακριβώς ο αριθμός των υποψηφίων, που θα τα δηλώσουν ελπίζοντας σε μετεγγραφή. Αντίθετα, να σημειωθεί, ότι στο Τμήμα Μαθηματικών της Καστοριάς, που δεν έγινε αντίστοιχο με κάποιο άλλο, αναμένεται μείωση της ζήτησης, άρα και της βάσης εισαγωγής».
Υπενθυμίζεται, ότι για να είναι δυνατή η μετεγγραφή μεταξύ δύο Τμημάτων, εκτός των υπολοίπων κριτηρίων, τίθεται ένα ανώτατο όριο βαθμολογικής διαφοράς μεταξύ της σχολής εισαγωγής και της σχολής προορισμού από τον υποψήφιο, η οποία (διαφορά) δεν πρέπει να υπερβαίνει τα 2.750 μόρια. Επομένως, ακόμη κι αν πληρούνται τα κοινωνικά και οικονομικά κριτήρια, που θέτει ο νόμος, δεν γίνεται κάποιος, που εισάγεται σε μία σχολή με 12.000 μόρια να ζητήσει μετεγγραφή για μία σχολή, όπου απαιτούνται 16.000 μόρια για την εισαγωγή.
Ένα δεύτερο σημαντικό πρόβλημα σχετικά με τη δυσκολία υπολογισμού των βάσεων εισαγωγής, αποτελούν οι προτιμήσεις των υποψηφίων, οι οποίες μεταβάλλονται κάθε χρόνο, με αποτέλεσμα να αυξομειώνονται οι βάσεις αναλόγως.
Σύμφωνα με τον κ.Στρατηγάκη, «οι προτιμήσεις των υποψηφίων στη σειρά, που δηλώνουν τις σχολές στο Μηχανογραφικό τους αλλάζουν, επομένως αλλάζουν και οι βάσεις εισαγωγής, οι οποίες καθορίζονται από τη ζήτηση. Οι βάσεις γίνονται γνωστές ταυτόχρονα με την ανακοίνωση των ονομάτων των επιτυχόντων, οπότε τότε μόνο μαθαίνουμε τις προτιμήσεις των υποψηφίων». Όπως εξηγεί ο ίδιος, «εάν γνωρίζαμε εξαρχής πόσα παιδιά έγραψαν μεταξύ 8 και 9 και πόσα είναι μεταξύ 7 και 8, θα μπορούμε να προσδιορίσουμε τον ακριβή αριθμό όσων δεν έχουν δικαίωμα να δηλώσουν κάποια σχολή στο μηχανογραφικό – κάτι, το οποίο, γίνεται γνωστό την ημέρα, που ανακοινώνονται οι βάσεις. Παλαιότερα, όταν τα μόρια ήταν ενιαία για όλες τις σχολές, ανακοινώνονταν οι μέσοι όροι. Αλλά από το 2022 και εντεύθεν, υπάρχουν διαφορετικοί συντελεστές σε κάθε μάθημα σε κάθε Τμήμα, οπότε ο κάθε υποψήφιος συγκεντρώνει διαφορετικά μόρια για κάθε Τμήμα. Αν και οι μέσοι όροι χρησιμοποιούνται για να βγει η Ελάχιστη Βάση Εισαγωγής (ΕΒΕ) – πιο απλά, εάν ένας υποψήφιος εξασφαλίζει την ΕΒΕ για να εισαχθεί σε κάποιο τμήμα, εξαρτάται από το μέσο όρο της βαθμολογίας του – το γεγονός ότι δεν δημοσιεύονται τα στατιστικά στοιχεία για το μέσο όρο των υποψηφίων, καθιστά αδύνατη την ακριβή πρόβλεψη για τη διακύμανση των βάσεων. Σκεφτείτε ένα υποψήφιο του 3ου Επιστημονικού Πεδίου Επιστημών Υγείας, ο οποίος επιθυμεί την εισαγωγή του στην Ιατρική: έστω ότι έγραψε 19 στη Βιολογία. Αν έχει γράψει 12 στη Γλώσσα, μένει εκτός. Αν όμως, έγραψε 17, μπαίνει. Μη γνωρίζοντας σήμερα τί έχει γράψει στα υπόλοιπα μαθήματα εκείνος, που έγραψε 19 στη Βιολογία, δεν μπορεί να γίνει και πρόβλεψη», καταλήγει.
Τέλος, καθοριστικός παράγοντας σε σχέση με τη δυσκολία πρόβλεψης της διαμόρφωσης των βάσεων στις Πανελλαδικές 2024, αποτελεί η αντιστοίχιση 18 Τμημάτων Μηχανικών με Πολυτεχνικές Σχολές.
Από τη στιγμή, που αναπροσαρμόστηκαν τα προγράμματα σπουδών τους και έγιναν πενταετή, τα συγκεκριμένα Τμήματα διεκδίκησαν ισότιμα επαγγελματικά δικαιώματα με εκείνα που παρέχονται στους αποφοίτους των Πολυτεχνικών σχολών. Αφού προηγήθηκε ο ενδελεχής έλεγχος από τις επταμελείς Επιτροπές του άρθρου 66, δόθηκε το ‘πράσινο φως’ της ισοτιμίας. «Εκκρεμούν οι Κοινές Υπουργικές Αποφάσεις και στη συνέχεια, η δημοσίευση σε ΦΕΚ. Πρόκειται για ένα τυπικό θέμα, που είναι ζήτημα χρόνου να διευθετηθεί. Με αυτό το δεδομένο, αναμένεται αύξηση της ζήτησης στα 18 αυτά Τμήματα, μειώνοντας ταυτόχρονα τη ζήτηση στα αντίστοιχα πολυτεχνικά τους Τμήματα, αφενός επειδή τα τελευταία διατηρούν πολύ υψηλές βάσεις σε σχέση με τα πρώτα – για φέτος, τουλάχιστον – αφετέρου, επειδή βρίσκονται στην επαρχία», θα πει ο κ.Στρατηγάκης, αποσαφηνίζοντας τα λεγόμενά του: «Ως τώρα, κάποιος, που επιθυμούσε να γίνει Πολιτικός Μηχανικός, θα δήλωνε πρώτα Μετσόβιο και μετά Πάτρα ή Θεσσαλονίκη, για παράδειγμα. Μετά την αναγνώριση της ισοτιμίας των 18 Σχολών Μηχανικών, ο ίδιος υποψήφιος μπορεί πλέον, μετά το Μετσόβιο να προτιμήσει να δηλώσει το Πανεπιστήμιο Δυτικής Αττικής (ΠΑΔΑ), παραμένοντας στην Αθήνα. Αναμένεται, δηλαδή, αύξηση της ζήτησης στο ΠΑΔΑ και αντίστοιχη μείωση στην Πάτρα, κάτι το οποίο αλλάζει το ‘σκηνικό’ άρδην, ως ένας ακόμη απρόβλεπτος παράγοντας. Όπως απρόβλεπτη είναι και κατάσταση, που διαμορφώνεται από τα κοινά Τμήματα μεταξύ των Πεδίων. Χαρακτηριστικό παράδειγμα, τα Παιδαγωγικά Τμήματα, στα οποία μπαίνει κανείς από όλα τα Επιστημονικά Πεδία – όταν πέφτουν οι βάσεις στο ένα και ανεβαίνουν στα υπόλοιπα, δεν μπορεί να γνωρίζει κανείς τί θα γίνει με τις Σχολές αυτές, ελλείψει στατιστικών, ώστε να είναι ξεκάθαρο πόσοι εισάγονται από κάθε Πεδίο», καταλήγει.
Δείτε τις εκτιμήσεις για τις βάσεις σε 100 δημοφιλείς σχολές:















Διαβάστε ακόμα: Συναγερμός για τις συνήθειες των 16χρονων: Αλκοόλ, κάπνισμα, τζόγος και εξάρτηση από οθόνες